0%

EP12-剑指offer——7.裴波那契数列

1.题目

大家都知道斐波那契数列,现在要求输入一个整数n,请你输出斐波那契数列的第n项。(n<=39)
斐波那契数列公式为:

2.思路分析

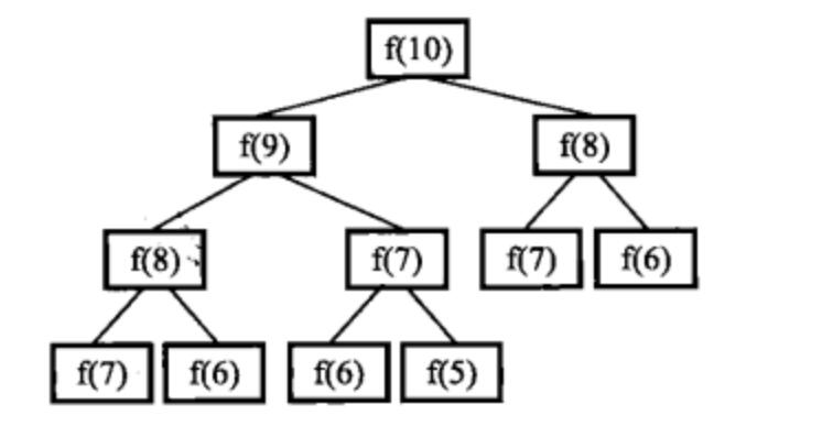
我们可以以求解f(10)为例来分析递归的求解过程。想要求得f(10),我们要先知道f(9)和f(8)。同样的,要求得f(9),需要先知道f(8)和f(7)。。。我们可以使用树形结构来表示这种依赖关系,如下图所示。

&nbsp;&nbsp;&nbsp;&nbsp;不难发现在这棵树中有许多的节点都是重复的,而且重复的节点数会随着n的增大而急剧增加,这意味着计算量会随着n的增大而急剧增大。事实上用递归方法计算的时间复杂度是以n的指数方式递增的。改进上述方法并不难,只要想办法避免重复计算就可以了,比如可以将已经得到的数列中间项保存起来,如果下次需要计算的话先查找一下,已经计算过的就不用重复再计算了。
&nbsp;&nbsp;&nbsp;&nbsp;更简单的办法是从下往上计算,即使用简单的循环方法来实现。

3.代码实现

C++:

1
2
3
4
5
6
7
8
9
10
11
12
13
14
15
16
17
18
class Solution {
public:
int Fibonacci(int n) {
if(n <= 0){
return 0;
}
if(n ==1 ){
return 1;
}
int first = 0,second = 1,third = 0;
for(int i = 2;i <= n;i++){
third = first + second;
first = second;
second = third;
}
return third;
}
};

Python2.7:

1
2
3
4
5
6
7
8
9
10
11
class Solution:
def Fibonacci(self, n):
# write code here
if n <= 1:
return n
first, second, third = 0, 1, 0
for i in range(2, n+1):
third = first + second
first = second
second = third
return third
--------------------------------------- The End ---------------------------------------